外语学院2023

院务公开

当前位置: 学院首页 > 院务公开 > 正文

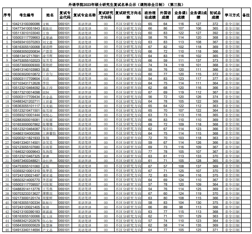
外语学院2023年硕士研究生复试名单公示(调剂非全日制)(第三批)

时间:2023-04-11 点击:作者:

上一篇:外语学院2023年硕士研究生复试成绩公示(第二批)

下一篇: 外语学院2023年硕士研究生复试名单公示(调剂全日制)(第二批)

联系我们:

地址:中国.湖北.武汉.东湖新技术开发区光谷一路206号  

邮编:430205          电话: 027-87992026

永兴集团导航首页 版权所有 All Rights Reserved 2016-2023

永兴集团导航首页公众号